서 언
약재로 사용되는 천궁(Cnidii Rhizoma)은 산형과(Umbelliferae)에 속하는 다년생 초본인 일천궁(Cinidium ofiicinale Makino)과 토천궁(Ligusticum chuanxing Hort.)의 근경을 기원으로 하며(KFDA, 2012; Seo et al., 2008), cnidilide, ligustilide, butylphthalide 등의 정유 성분을 함유하고 있어(Yong et al., 2011) 진경(鎭痙), 진정(鎭靜), 혈압강하(血壓降下), 혈관확장(血管擴張), 항균(抗菌) 및 항진균(抗眞菌)등의 약리작용이 있는 약용작물 중 하나이다(Lee et al., 2002; Yu et al., 1999). 또한 최근 연구에 따르면 천궁 지하부 발효 추출물의 항산화 및 항당뇨 효과(Yong et al., 2011), 광노화로 인해 발생하는 피부조직의 항염증 효과(Kim et al., 2011), 천궁약침을 활용한 콜레스테롤 합성 저하(An and Lee, 2010) 및 천궁 지상부 추출물을 활용한 항산화 및 항균효과(Oh et al., 2010) 등의 약성 효능 연구도 진행되고 있다. 천궁은 한지형 작물로서 여름철 최고기온이 28℃ 이하의 해발이 높고 서늘한 경상북도(봉화, 영양)와 강원도(평창, 태백, 삼척)에서 주로 재배되고 있고(Kim et al, 2012), 재배지의 기상환경과 토양의 특성에 의해 생육의 영향을 많이 받는다. 17년 기준 약용작물 생산량 중 약 1,290 톤으로 약용작물 중 11번째의 생산량을 기록하고 있으나(MAFRA, 2018) 18년 기준 1,014 톤, 19년 기준 1,014 톤으로 최근 생산량이 감소하는 추세이며(KOSIS, 2020), 최근 세계적으로 진행되고 있는 기후변화에 따른 기상이변의 영향으로 재배지 면적의 축소 및 이동으로 인한 생산량의 감소가 가속화 될 것이라 예상된다. 따라서 본 연구의 목적은 약재로 사용되는 천궁 중 토천궁에 대한 지역별 생육환경을 확인하고 이에 따른 지상부 및 지하부 생장과의 상관관계를 구명하여 토천궁의 적정 재배지역 확인 및 지속 가능한 안정적인 한약재 생산에 대한 기초자료로 사용함에 있다.
재료 및 방법
실험포지 선정 및 생육특성
토천궁이 주로 재배되고 있는 봉화군, 영양군, 평창군과 더불어 기후변화에 의한 재배지 이동을 고려하여 고위도 지역인 인제군을 포함한 4 지역의 재배지를 선정하였으며, 선정된 재배지의 정보는 Table 1과 같다. 선정된 4곳의 재배지(Fig. 1)에 10 m × 15 m 크기의 실험포지를 19년 3월에 조성 하였으며, 경북 영주시에 위치한 채종포지에서 18년도에 생산된 생중량 20 ~ 30 g의 토천궁 종근을 4월 하순에 이식하였다. 그리고 이식된 토천궁 시료 중 무작위로 20개체를 선정하여 개화기인 8월에 지상부의 생육특성(전체높이, 줄기직경, 잎길이, 잎너비, 출엽 수)과 10월 중순에 토천궁 시료를 수확하여 지하부 생육특성(뿌리길이, 뿌리직경, 측근 수, 생중량)을 측정하였다. 그리고 50℃의 건조기(DY-420H, Lassele, Korea)에 7일간 건조시켜 건중량을 측정하였다.
Table 1
The geographical information of L. chuanxing cultivation
토양특성
토양특성을 확인하기 위해 4곳의 실험포지에서 무작위로 표토를 제거하고 근권(根圈)의 토양을 100 g씩 3반복으로 채취하였으며, 토양시료를 건조 후 2 ㎜로 체별하여 토양특성 분석에 사용하였다. 토양 내 모래, 미사, 점토의 함량을 분석하기 위해 미국 농무성(USDA)에 의한 입도 분류를 실시하였으며, 토양 내 유기물 함량은 Walkley-Black법(Walkley and Black, 1934), 전질소는 Kjeldahl 황상분 해증류법(Konen et al., 2002), 전기전도도(EC)와 토양 pH는 토양과 증류수 비율을 1 : 5 (v/v)가 되도록 혼합하여 1시간 후에 상등액의 전기전도도와 pH를 측정하였다. 유효인산은 Lancaster 침출법으로 분광광도계를 이용하여 분석하였으며(RDA, 1988), 치환 성양이온인 칼륨, 칼슘, 마그네슘은 pH가 7.0인 1N의 ammonium acetate를 가하여 원자방출분광광도계(ICP)를 이용하여 분석하였다.
기상환경
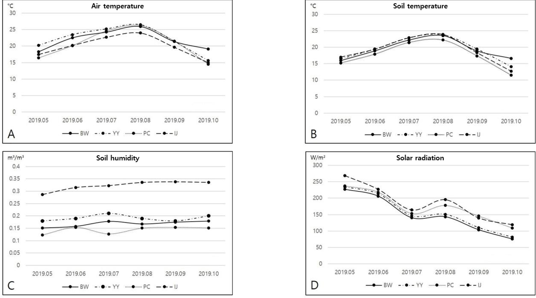
선정된 4지역의 기상환경을 측정하기 위해 2019년 5월에서 10월까지 미세기상관측장비(HOBO H21-USB, ONSET Co. Corp., Santa Clara, CA, USA)와 기상측정 센서(대기온도: S-THB-M002, 일사량: S-LIB-M003, 토양온도: S-TMB-M002, 토양습도: S-SMD-M005O, NSET Co. Corp., Santa Clara, CA, USA)를 지상 1 m와 지표 밑 15 ~ 20 ㎝의 위치에 설치하여 정보를 수집하였다.
통계분석
통계분석은 SAS (Statistical Analysis System ver. 7.1) soft ware를 이용하여 일원배치분산분석(one-way ANOVA)과 Duncun’s Multiple Range Test (DMRT)로 유의수준 5% (P < 0.01)으로 검증하였으며, 분석한 데이터 값은 평균치 ± 표준편차(means ± SD)로 나타내었다. 생육특성과 입지환경(토양이화학성, 기상환경) 간 상관관계를 동일한 프로그램을 이용하여 피어슨 상관계수(Pearson’s correlation coefficient)를 분석하였다.
결과 및 고찰
생육특성
토천궁의 지상부(전체높이, 줄기직경, 잎 길이, 너비, 출엽 수) 및 지하부 생육특성(뿌리길이, 측근수, 생중량, 건중량)을 조사하였으며, 그 결과는 Table 2와 같다. 우선 지상부의 생육특성은 개화기인 8월에 4곳의 실험포지별 20개체씩을 무작위로 선정하여 측정하였다. 전체높이와 줄기직경은 평창지역에서 각각 126.97 ㎝, 11.62 ㎜, 잎 길이와 너비는 봉화지역에서 각각 19.70 ㎝, 22.92 ㎜로 다른 지역에 비해 높은 생육적 유의성을 나타냈다. 지하부의 생육특성은 수확 시기인 10월에 측정하였으며, 생육특성 중 뿌리길이는 인제지역에서 29.11 ㎝로 다른 지역에 비해 높게 측정되었으나 유의성은 확인되지 않았고, 뿌리의 생중량은 평창지역에서 218.69 g으로 130 g정도의 영양, 봉화지역 대비 약 1.7배, 120 g 정도인 인제지역 대비 약 1.8배의 높은 생중량을 나타내었으며, 이에 따른 건중량 또한 99.00 g으로 다른 지역에 비해 유의적으로 높게 확인하였다. 약용으로 사용되는 작물은 지역적 생육차이를 나타내며, 산형과(Umbelliferae) 약용작물 중 참당귀(Angelica gigas Nakai)의 경우 재배지의 해발고도가 높아질수록 활착율과 지상부 및 지하부의 생육특성이 우수하다고 보고되어 있다(Kim et al., 2009; Kim et al., 2019). 본 연구에서도 해발고도가 623 m로 가장 높은 평창지역에서 다른 지역 대비 유의적으로 높은 지상부 및 지하부의 생육량을 나타내어 선행연구와 유사한 결과를 확인할 수 있었다.
Table 2
Growth characteristics of L. chuanxing among four cultivation regions
일반적으로 뿌리를 사용하는 작물의 경우 지상부의 생육 정도를 통해 육안으로 확인할 수 없는 지하부의 생육량을 가늠하며, 또한 환경이나 추대와 같은 요인에 의해 개체에 따른 생육의 차이는 존재하나 식물의 지상부 생육이 지하부 생육에 영향을 준다(Park et al, 1997; Park et al, 2013). 이에 따라 앞서 측정된 생육특성을 이용하여 지상부와 지하부 간의 상관관계를 확인하기 위해 회귀분석을 수행하였고, 그 결과는 Fig. 2와 같다. 각각의 회귀분석에서 R2값이 0.134 (Fig. 2-K)에서 0.002 (Fig. 2-G)까지 확인되어 뚜렷한 유의적 상관관계의 계수는 확인되지 않았으나 지상부 생육에 따라 지하부 생육이 증가하는 경향을 확인하였다. 지상부의 생육특성 중 잎의 길이와 너비의 생육특성이 지하부의 생중량에 대한 R2값이 각각 0.134 (Fig. 2-K)와 0.1218 (Fig. 2-H)로 가장 높은 양의 상관관계의 경향을 나타냈다. Kim (2000)은 층층나무(Cornus controversa Hemsl. ex Prain)와 말채나무(C. walteri F. T. Wangerin)의 전반적인 생육특성을, Jeon et al. (2015)은 삽주[Atractylodes ovata (Thunb.) DC.]의 지하부 생육특성을 지상부의 광합성을 통해 생성된 동화산물의 생산량으로 설명하였다. 본 연구 또한 회귀분석을 통해 지상부의 생육에 따라 지하부의 생육이 증가하는 경향이 확인된 바 선행연구의 결과와 같이 지상부와 지하부의 상관관계는 광합성량에 따른 동화산물 생산량의 차이에 따라 도출된 결과라 사료된다.

Fig. 2
Graph of regression analysis of among over and under ground part characteristics. A. Height and root length; B. Height and fresh weight; C. Height and dry weight; D. Stem diameter and root length; E. Stem diameter and fresh weight; F. Stem diameter and dry weight; G. Leaf length and root length; H. Leaf length and fresh weight; I. Leaf length and dry weight; J. Leaf width and root length; K. Leaf width and fresh weight; L. Leaf width and dry weight.
토양특성
토양특성을 확인하기 위해 4지역의 실험포지에서 근권에 위치한 토양시료를 채취하여 토양특성 및 이화학성을 분석하였고 그 결과는 Table 3과 같다. 일반적으로 점토의 비율이 높을수록 양분의 보존능력이 크나 배수의 문제가 야기되고, 모래 비율이 높을수록 투수성과 통기성에서 유리하나 건조와 양분보전의 어려움이 있다(Nam et al., 1999). 또한 토천궁의 경우 토양수분이 충분하면서 물빠짐이 좋은 토양에서 생육이 우수하다고 알려져 있는데(Kim et al., 1997b) 지하부의 생육이 가장 우수한 평창지역의 토성이 점토 5% 이하, 모래 85% 이상의 투수성과 통기성이 뛰어난 사토(Sand)로 분석되었다. 그리고 봉화와 인제지역이 점토 10% 이하, 모래 65 ~ 85%의 사양토(Sandy Loam), 영양지역이 점토 15 ~ 25%, 모래 55 ~ 85%로 사질식양토(Sandy Clay Loam)로 분석되었다.
Table 3
Edaphic characteristics of L. chuanxing among four cultivation regions
작물의 생장에 있어 질소(N)와 인(P), 칼륨(K)은 식물의 세포 형성 및 발달에 영향을 미치며(Jung, 2015), Ca, Mg, Na과 같은 토양 내 미량원소는 식물체 내의 세포 팽압 유지 및 수분조절과 이온흡수의 촉진 등에 영향을 미친다(Ouimet and Camir, 1995; Nadeau and Olivier, 2003). 이러한 토양 이화학성을 분석한 결과 봉화지역에서 유기물(OM)과 질소전량(Total N), 유효인산(Avai. P)이 각각 5.17%, 0.19%, 2187.76 ㎎/㎏로 다른 지역에 비해 높게 분석되었다. 또한 칼륨(K)은 봉화에서 1.53 cmol+/㎏, Ca, Mg, Na는 인제에서 각각 12.63 cmol+/㎏, 3.70 cmol+/㎏, 0.10 cmol+/㎏로 다른 재배지보다 높게 분석되었다.
기상환경
식물의 생육환경 중 토양특성과 더불어 대기 및 토양 온・습도, 일사량 등과 같은 기상특성은 식물의 생장에 있어 생중량, 발색(Color development)과 같은 외적 품질과 유효성분의 함량과 같은 내적 품질에 영향을 주는 간섭인자로 작용한다(Lee et al., 2012; Park et al., 2015). 이러한 기상특성을 분석하기 위해 각 실험포지에 미세기상관측장비를 설치하여 대기온도, 토양 온·습도, 일사량을 기록하였으며, 그 결과는 Table 4, Fig. 3과 같다. 기상특성 중 대기온도와 습도는 실험이 수행된 지역 모두 평이한 경향이 나타났다. 다만 봉화지역에서 수확기인 10월의 대기온도가 다른 지역에 비해 완만한 감소세를 나타냈는데(Fig. 3-A) 이는 지리적으로 평창과 인제지역에 비해 낮은 위도와 영양지역에 비해 약 100 m 정도의 낮은 해발고도에 위치하고 있어(Table 1, Fig. 1) 위도와 해발고에 다른 지리적 온도특성(Park et al., 2009)이라 사료된다. 이에 반해 토양온도는 일사량이 다른 지역에 비해 상대적으로 높은 인제지역이 생장기인 6월부터 8월까지 약 2.5℃ 정도의 낮은 수치를 나타냈다(Fig. 3-B, C). 이는 토양습도가 높을수록 열의 발산율이 높아져 일몰 후 토양온도의 급격한 하향곡선을 나타내는 현상으로(Kim et al., 2005) 인제지역의 높은 토양습도(Fig. 3-D)에 의한 영향으로 판단된다.
Table 4
Weather characteristic of L. chuanxing among different cultivation
생육특성과 환경과의 상관관계
토천궁 생육의 적정 대기온도는 25 ~ 30℃로 알려져 있으며(Ohk et al., 1997), 토양의 습도는 토천궁의 지상부 생육에 영향을 미친다고 보고되고 있다(Kim et al., 1997a). 또한 Seo et al. (2018)은 일천궁(Cnidium officinale Makino)을 대상으로 대기온도와 토양수분, 일사량과 같은 기상요인에 따라 잎의 증발산량 변화를 측정하여 작물의 생육과 기상요인과의 상관관계를 보고한 바 있다. 본 연구에서도 토천궁의 생육과 토양특성 및 기상환경과의 상관관계를 확인하기 위해 앞서 측정된 수치를 바탕으로 Spearman’s rank 상관관계를 분석하였다(Table 5, Table 6). 조사된 토양특성 중 유기물과 질소전량, 유효인산, 칼륨는 지상부의 전체높이와 줄기 직경을 비롯한 지하부의 생육특성과 음의 상관관계를 보였는데 이는 근권의 토양시료를 사용하여 분석한 것이라 실질적으로 토천궁의 생육에 필요한 성분인 유기물과 질소전량, 유효인산, 칼륨이 토천궁에 의해 흡수되었다고 판단된다. 토양의 성분 OM, N, P, K는 식물세포의 형성과 발육에 관여하며(Jung, 2015) 부족하면 식물체 전체의 생장억제 및 병해에 대한 저항성 감소 등을 초래한다(Kim et al., 2014). 실험지역 중 토천궁의 생육이 가장 우수했던 평창지역이 다른지역에 비해 상대적으로 낮게 분석된 유기물(1.69%)과 질소전량(0.09%), 유효인산(897.72 ㎎/㎏), 칼륨(0.21 cmol+/㎏)의 수치가 본 실험에서 도출된 생육과 토양특성간 상관관계의 결과를 지지한다.
Table 5
Correlation coefficient between growth characteristics and soil environment of L. chuanxing
Table 6
Correlation coefficient between growth characteristics and weather environment of L. chuanxing
기상환경 중 대기 및 토양온도는 지상부의 전체높이, 줄기직경, 지하부의 생육특성과 P < 0.01수준에서 유의적인 음의 상관관계, 잎의 길이 및 너비와는 양의 상관관계를 보였다. 또한 토양수분이 증가할수록 지하부 길이를 제외한 생육특성은 음의 상관관계를, 일사량이 높아질수록 잎의 크기를 제외한 생육특성이 양의 상관관계를 나타냈다. 이 중 생육특성과 대기 및 토양온도의 상관관계와 일사량의 상관관계 결과는 정반대의 결과를 확인할 수 있는데 이는 대기 및 토양온도의 상승으로 인해 잎에서 증발산율이 높아져 잎의 크기가 커진 것이며(Seo et al., 2018) 잎의 크기에 따른 광합성량의 차이가 있어(Jeon et al., 2015) 식물체의 생육에 필요한 광합성율에 따라 일사량이 높아질수록 잎의 크기가 작아진 것이라 사료된다.
적 요
본 연구의 목적은 약재로 사용되는 토천궁(Ligusticum chuanxing Hort.)에 대한 지역별 생육환경을 확인하고, 이에 따른 지상부 및 지하부 생장과의 상관관계를 규명하여 토천궁의 적정 재배지역 확인 및 안정적인 한약재 생산이 가능하게 하기 위한 재배기술 개발의 기초자료로 활용하는데 있다. 토천궁이 주로 재배되고 있는 봉화군, 영양군, 평창군과 더불어 기후변화에 의한 재배지 이동을 고려하여 고위도 지역인 인제군을 포함한 4지역의 재배지를 선정하였으며, 생육특성을 비롯한 기상 및 토양환경을 측정하여 토천궁의 생육특성과 상관관계를 분석하였다. 4지역의 재배지 중 전체적인 생육은 평창지역에서 유의적으로 높게 확인되었다. 그리고 토양특성과의 상관관계에서 OM과 N, P, K는 지상부의 전체높이와 줄기 직경을 비롯한 지하부의 생육특성과 음의 상관관계를 보였는데 근권의 토양시료를 사용하여 분석한 것이라 실질적으로 토천궁의 생육에 필요한 성분인 유기물과 질소전량, 유효인산, 칼륨이 토천궁에 의해 흡수되었다고 판단되며 생육이 가장 우수했던 평창지역이 다른 지역에 비해 상대적으로 낮게 분석된 유기물(1.69%)과 질소전량(0.09%), 유효인산(897.72 ㎎/㎏), 칼륨(0.21 cmol+/㎏)의 수치가 본 실험에서 도출된 생육과 토양특성간 상관관계의 결과를 지지한다. 또한 기상환경과의 상관관계에서 대기 및 토양온도가 지상부의 전체높이, 줄기직경을 비롯하여 지하부의 생육특성과 P < 0.01수준에서 유의적인 음의 상관관계, 지상부 잎의 길이 및 너비와는 양의 상관관계를 보였다. 또한 일사량이 높아질수록 잎의 길이 및 너비를 제외한 생육특성이 양의 상관관계를 나타냈는데 이는 대기 및 온도의 상승으로 인한 잎의 증발산율 상승과 일사량에 따른 잎의 광합성량의 차이에 의한 결과라 사료되며, 본 연구의 결과는 향후 토천궁의 재배지 선정 및 재배기술 정립에 활용할 수 있을 것이라 판단된다.




