서언
전 세계적인 기후 변화는 작물 재배환경의 변화를 조장하고 농업생태계에 많은 영향을 미친다. 특히 작물 생산성에 영향을 미치고 재배적지의 이동을 야기하며(RDA, 2016a), 농작물에 대한 수요도 달라지게 한다. 농업환경의 변화에 따라 기존에 재배되지 않았거나 관심을 받지 못했던 식물에 대한 작물화 요구가 지속적으로 증가하고 있다. 최근 아열대, 남미 등지에서 재배되던 작물들이 국내로 도입되어 작물화가 시도되고 있으나 국내 재배 환경 적응성 평가가 부족하고 재배기술이 확립되어 있지 않은 실정이다. 소비자와 농업인에게 주목받는 자원식물의 특성평가와 재배기술의 개발 또는 보완에 대한 필요성도 늘어나고 있다.
아마란스(Amaranthus spp.)는 남아메리카 고산지대 원산인 비름과 일년생 초본식물로서 아곡류(pseudocereal)로 분류되며 종실에 lysine, squalene, tocopherol 등이 함유되어 있고 가공적성 및 전분의 이화학성이 우수하다(Lee, 2007). 1998년도부터 국내 재배 적합성을 평가하는 등 작물화가 시도되었고(Lee et al., 1998), 최근 소비자 인식 변화와 기능성에 대한 관심이 높아지면서 재배요인 등 국내 연구가 재개되었다(Hong et al., 2014; Yi et al., 2017). 아마란스는 광범위한 범위의 환경조건에서 생육이 가능하지만 종실 수량은 재배지역, 생육기간에 따른 변이가 심해서 각 재배지역별로 재배환경에 적합한 재배시스템 구축이 필요하다(Gélinas and Seguin, 2008; Gimplinger et al., 2007; Yarnia et al., 2010). 국내 재배환경에서는 5월 상~하순에 파종하여 130~180일의 생육기간이 경과하였을 때 10 a당 종실수량이 가장 많았고 천립중도 무거웠다(Hong et al., 2014). 또한 C4 식물에 속하는 쌍떡잎 식물로 건물생산성이 매우 우수하며(Horak and Loughin, 2000; Tazoe et al., 2006), 새싹채소로서의 가능성(Jang et al., 2016)도 검토되었다.
아마란스는 21℃ 이상의 고온에서 잘 자라는 작물로서 국내에서는 강릉, 진부 등의 지역이 재배적지로 판단되고 있으나(RDA, 2016b) 고소득 대체 밭작물로 인식되면서 경북을 비롯한 중남부지역으로 재배지역이 확대되고 있다. 하지만 생육온도가 높은 평난지에서 아마란스를 재배할 때의 수량반응에 대한 검토뿐만 아니라 생육시기별 건물 생산성을 평가한 보고는 부족한 실정이다.
본 연구는 다양한 소비자 기호에 부응하는 기능성 작물을 발굴하고 이를 새로운 농가 소득원으로 개발하기 위하여 경북지역에서 아마란스의 파종기와 수확기를 달리하여 생육기간에 따른 건물생산성과 수량 반응을 검토하였다.
재료 및 방법
재배법
본 연구는 2014년부터 2016년까지 경상북도농업기술원 생물자원연구소 시험포장(N36◦39’49’’ E128◦42’05’’)에서 수행하였다. 시험포장은 상주통(Sangju series)이며, 파종 전 시험토양의 화학성은 pH 7.0, EC 0.57 dS/m, O.M. 18.3 g․㎏-1, 유효인산 368 ㎎․㎏-1, 치환성 양이온 K, Ca, Mg 각 0.25, 7.88, 1.95 c㏖․㎏-1이었고, N, P, K, 퇴비를 10 a당 각 5, 5, 5, 1,000 ㎏을 기비로 시용하였다. 기비 시용 후 경운 구획하였고 흑색비닐로 피복하였다. 식물재료는 국립농업유전자원센터로부터 분양받은 IT238335 (Amaranthus caudatus)를 사용하였다. 80×15 ㎝ (8,333주/10 a)의 재식거리로 파종하였고 파종 후 30일에 건전한 1주를 남겨두고 나머지는 솎아주었다. 시험구 배치는 난괴법 3반복으로 하였다.
건물생산성 평가
2015년 4월 10일, 5월 10일, 6월 10일에 파종하였고 파종 30일 후부터 15일 간격으로 5주 3반복으로 시료를 채취하여 초장, 근장, 엽수, 엽면적, 건물중, 건물률, T/R률, P/N율을 조사하고 경시적 변화를 분석하였다. 일차생산성을 구명하기 위해 각 조사시점에서 측정된 건물중과 엽면적을 기초로 하여 RGR (Relative Growth Rate, (lnW2-lnW1)/(t2-t1)), NAR (Net Assimilation Rate, {(W2-W1)(lnLA2-lnLA1)}/{(t2-t1)(LA2-LA1)}), LAR (Leaf Area Rate, {(LA2-LA1)(lnW2-lnW1)}/{(lnLA2-lnLA1)(W2-W1)}), SLA (Specific Leaf Area, {(lnLW2-lnLW1)/(LW2-LW1)}× {(LA2-LA1)/(lnLA2-lnLA1)}), LAI (Leaf Area Index, {(LA2+LA1)/2}×(1/GA)), CGR (Crop Growth Rate, NAR×LAI) 등을 산출하였다. W1, W2는 t1, t2때의 건물중, LA1, LA2는 t1, t2때의 엽면적, LW1, LW2는 t1, t2때의 엽건물중, GA는 잎이 덮고 있는 땅 면적이다. 생장해석 특성간의 관계를 통하여 건물생산성의 결정요인을 분석하였다.
생육기간에 따른 수량반응
2014년부터 2016년까지 3년 동안 4월 10일, 5월 10일, 6월 10일에 파종하여 종실 수량과 천립중을 조사하였다. 적정 수확시기 구명을 위하여 2016년에는 파종 후 90일 후부터 10일 간격으로 5회 수확하여 종실의 무게와 천립중을 조사하였고, 생육일수와 수량특성과의 2차 회귀식을 구하여 적정 수확시기와 최대 수량을 추정하였다.
통계처리
통계프로그램 R (v3.3.2)을 이용하여 0.05% 유의수준에서 유의성을 검정하였고, Sigmaplot 8.0 (Systat Software Inc., USA)를 이용하여 그래프를 작성하였다.
결과 및 고찰
기상조건
시험기간 중 개화기를 기준으로 영양생장기와 생식생장기로 구분한 기상조건은 Table 1과 같다. 평균온도는 5월 10일 파종이 가장 높았고, 연차 및 처리에 따라 19.4~22.8℃의 범위를 보였다. 강수량은 6월 10일 파종 처리와 2016년이 타 처리와 시험년도에 비해 많았으며 278.9~519.3 ㎜의 범위였다.
건물생산성 평가
파종기에 따른 생육기간 차이가 주요 형질의 경시적 변화에 미치는 영향은 Fig. 1과 같다. 각 생육특성의 단위 변화량은 일 평균기온이 20℃를 넘기 시작하는 6월 초순부터 급격히 증가하였다. 5월 10일 파종 처리가 타 처리에 비해 엽수, 엽면적, 건물중 등의 증가속도가 빠르고 생육량도 많았다. 초고의 변화는 4월 10일 파종이 1.31 ㎝․day-1로 타 처리에 비해 완만하였고, 5월 10일과 6월 10일 파종이 각각 2.69, 2.25 ㎝․day-1로 증가속도와 변화양상이 유사하였다. 엽수, 엽면적은 개화기까지 단위 변화량이 증가하다가 감소하였는데 4월 10일과 5월 10일 파종은 생육 후기에 하위엽의 낙엽으로 총량이 감소한 반면 6월 10일 파종은 생육 후기까지 증가하였다. 건물중의 경시적 변화는 초고와 유사하였고 증가속도는 5월 10일 > 6월 10일 > 4월 10일의 순이었다. 건물률과 T/R률은 생육 초기 높은 값을 보이다가 점차 감소한 뒤 개화, 결실기 이후에 다시 증가하였고 P/N율은 생육 진전에 따라 지속적으로 감소하였다. 4월 10일 파종의 건물률이 가장 높고 5월 10일 파종의 지상부 및 광합성기관 비율이 높았다.
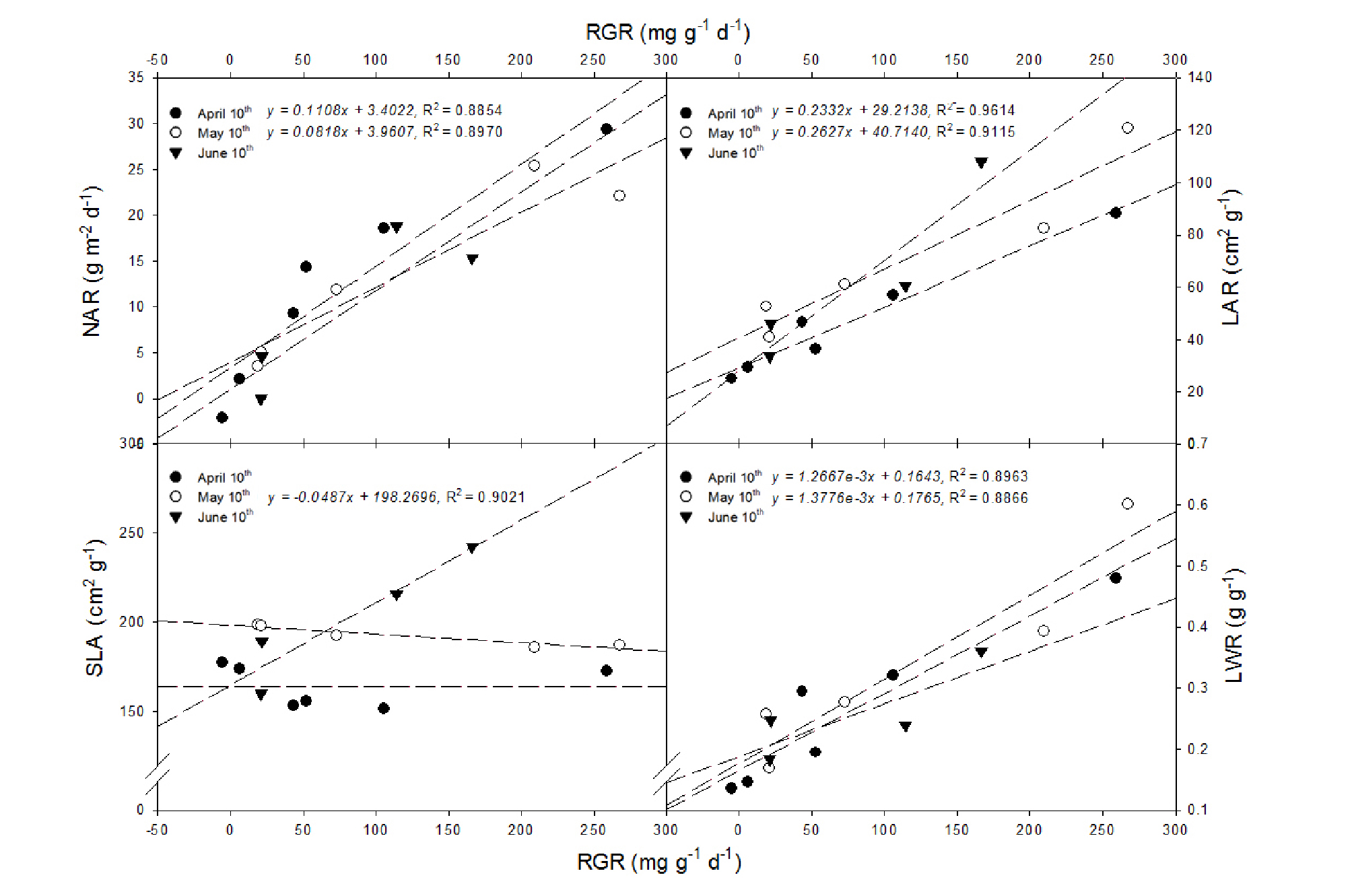
RGR, NAR, LAR 등 개체 생산성과 광합성기관의 비중은 각 파종기에서 공통적으로 생육 초기에 높았고 파종기별로는 5월 10일 파종이 가장 높았다(Table 2). LAI는 파종기와 상관없이 각 파종기의 생육 후기에 최대값을 보였고, CGR은 LAI와 NAR의 상호작용으로 7~8월에 최대값을 보였다. 5월 10일 파종의 CGR이 가장 높았으며 CGR=-2.07LAI2+22.86LAI+3.32 (R2= 0.90)의 관계를 보여 LAI가 5.5일 때 최대 군락생산성을 보였다(Fig. 2). Fig. 3과 같이 4월 10일, 5월 10일 파종의 RGR은 NAR, LAR, LWR과 유의한 정의 상관을 보여 개체 건물생산성이 동화능력과 source의 양적, 형태적 분포에 영향을 받음을 알 수 있었다. Horak and Loughin (2000)과 Webb et al. (1987)이 보고한 바와 같이 파종 또는 출현시기에 따라 온도, 습도, 일장 등 환경조건의 영향으로 아마란스의 생산성이 변화하게 된다. 5월 10일 파종의 높은 건물생산성은 영양생장기 평균기온이 약 21℃로(Table 1) 4월 10일, 6월 10일의 17, 25℃에 비해 생장에 적합하였고, source의 확보량이 많았기 때문으로 판단되며 건물중의 단위 변화량과 생육온도 사이에 유의한 상관관계(r=0.94)를 보였다.
Table 3과 같이 파종기에 따른 아마란스의 10 a당 종실 수량은 96~243 ㎏의 범위였고, 4월 10일 파종의 종실 수량이 높았다. 아마란스 종실 수량은 재배지역 및 환경에 따라 다양하게 나타나는데 북미 지역은 65~111 ㎏, 남미 지역에서는 180~600 ㎏, 국내 대관령 지역에서는 파종기와 수확기에 따라 125~464 ㎏의 범위를 보였다(Gélinas and Seguin, 2008; Henderson et al., 1998; Hong et al., 2014). 이와 같은 재배지역의 차이와 함께 파종기에 따른 수량 변이는 생육기 평균온도와 관련이 있는 것으로 보인다(Fig. 4). 파종기로부터 수확기까지의 평균기온(MT)과 수량(Y)과의 관계 Y = -15.96MT2 + 657.11MT – 6539.2 (R2 = 0.6107)를 통해 아마란스는 생육기 평균기온이 20.6℃일 때 최적 수량을 보일 것으로 추정되었다. 5월 10일 파종은 생육기간 평균온도가 2014, 2015년, 2016년 각각 22.6, 22.8, 22.8℃로 타 처리에 비해 2~3℃ 정도 높았는데 이 처리의 엽면적, 건물중이 많고(Fig. 1) 건물생산성은 높은 반면(Table 2) 수량은 다른 파종시기에 비해 적었다.
한편, 아마란스는 결실과정에서 탈립, 조류 피해, 종자수분함량 감소 등의 원인으로 인해 적정 생육기간이 경과하면 수량이 감소하게 되므로 적정 수확시기의 구명이 필요하다. 파종 후 90일부터 10일 간격으로 수량을 조사한 결과 4월 10일은 120일, 5월 10일과 6월 10일은 110일에 종실 수량이 최대값을 보인 이후 감소하는 경향이었고, 천립중은 수확 초기에 무거웠다(Table 4). 적정 생육기간은 브라질 사바나 지역 90~100일(Teixeira et al., 2003), 호주 동부 97~130일(Gimplinger et al., 2007)로 알려져 있고 대관령 등 고랭지역에서는 파종 후 140일에 수확하는 것이 적합하다고 보고된 것(RDA, 2016b)과 비교하여 경북지역은 평균기온이 상대적으로 높아 생육 및 등숙일수가 단축된 것으로 보인다. 파종기별로 수확시기를 기준으로 한 생육일수(x)와 수량(y)과의 관계는 4월 10일 파종 y=-0.14x2+32.58x- 1792.6 (R2=0.74), 5월 10일 파종 y=-0.13x2+28.57x-1401.9 (R2=0.87), 6월 10일 파종 y=-0.16x2+37.52x-2048.3 (R2=0.78)의 이차함수로 표현할 수 있다. 각 관계식을 통해 최적 수확시기는 각각 파종 후 119, 107, 114일로 추정되었고, 이는 실제 최대 종실수량을 보인 시기와 유사하였다. 이들 관계식을 통해 파종기별 생육기간을 추정해보면 4월 10일 파종할 때는 7월 상순에서 9월 상순까지 수확이 가능하며 적정 시기는 8월 상순이었다. 5월 10일 파종은 7월 하순에서 9월 하순까지 수확하며, 적정 시기는 8월 하순이었으며, 6월 10일 파종은 9월 상순부터 10월 하순까지 수확하며 적정 시기는 9월 하순이었다.
이상의 결과를 요약하면 아마란스는 남부 중산간지인 안동지역을 기준으로 4월 10일에 파종하는 것이 수량이 가장 많았고, 5월 10일에 파종할 경우 건물생산성은 높지만 수량은 감소하였다. 종실수량과 생육기 평균온도와는 유의한 상관관계를 보였고 최대 수량을 보이는 생육온도는 20.6℃이었다. 파종시기별로 적정 생육기간은 4월 10일, 5월 10일, 6월 10일 파종 각각 119, 107, 104일로 추정되었다.
적요
기호성 잡곡작물로 주목 받고 있는 아마란스의 경북지역 내 재배가능성과 재배요인을 구명하기 위하여 파종기와 수확기를 달리하여 건물생산성과 수량을 조사하였다. 생육특성과 건물생산성은 생육기 온도가 가장 높았던 5월 10일 파종이 가장 높았던 반면 수량은 4월 10일 파종이 많았다. 파종기에 따라 경북지역 아마란스의 종실수량은 96~243kg의 범위를 보였다. 각 파종기별 적정 생육일수는 4월 10일 파종이 120일, 5월 10일과 6월 10일 파종은 110일일 때 수량이 가장 많았다. 생육기 평균기온(MT)과 수량(Y) 간에는 각각 Y=-16.362MT2+ 670.04MT-6639.1 (R2=0.629)의 2차 함수관계를 보이고 최적온도는 20.6℃, 최적 생육일수는 파종기에 따라 104~119일로 추정되었다.










